固态开关必须采用可靠的电压检测方法和晶闸管检测方法,才能有效防止环流发生,保证电网安全以及系统和其他负荷的正常运行。三相电源供电SSTS原理图如图1所示,由检测单元、控制单元、驱动单元和执行单元四部分组成。正常运行时,负载由晶闸管模块T1向负荷供电,当检测到切换指令,由控制单元发出切换指令,将负载迅速切换至T2进行供电。

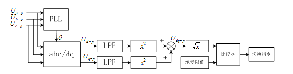
电压暂降检测方法有很多,为了保证检测的可靠性,采用基于广义瞬时无功功率理论的瞬时电压d-q分解变换算法作为电压暂降的检测方法。三相电压如下:

用低通滤波器滤除变换后的非直流分量可得到基波的变换结果,其为直流量:

只要将Urms的值与设定的电压最低门限值进行比较就可判断电压是否跌落从而决定是否切换电源。切换指令获取过程框图如图2所示。

图2 固态开关生成切换指令的原理框图
400-800-7179、0532-83817800
在线客服
QQ客服专线



