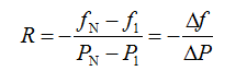
在电力系统运行中,由同步发电机组的调速器调整系统中频繁变化的负荷所引起的频率偏移,表现为对应负荷增大,发电机输出功率增加,频率低于初始值;对应负荷减小情况,机组输出功率减小,频率高于初始值。这种有差调节即为电力系统中的频率一次调整。反应同步发电机的调速特性曲线称为发电机组功频静特性曲线,如图1所示。假设发电机初始运行于额定工作点N,对应额定频率fN,额定有功功率PN。

当系统负荷增加,使得频率下降到f1,原动机调速系统的作用使发电机组输出功率增加到P1,发电机重新稳定运行于1点。可见对下降的频率Δf,发电机组输出有功功率增加ΔP,即发电机具有有功功率-频率下垂特性。定义调差系数为R,有:
以两台并联运行的发电机组为例,当负荷波动时,两台发电机输出有功功率变化量分别为ΔP1、ΔP2,并联运行时,频率变化量相等,即Δf1=Δf2,因此:

由公式可知,发电机组有功功率分配与机组调差系数R成反比,因此,根据发电机组的容量大小,来调整各发电机的调差系数,便可实现有功功率的合理分配。参照同步发电机调速器工作原理,并结合船舶能量管理系统控制策略,设计基于虚拟同步发电机的功频控制器如图2所示。

图中,fN为设定的系统额定频率;f为系统实际频率;kp为比例环节系数,kp=1/R;PN为设定的虚拟同步发电机输出功率参考值;Pref为岸电电源输出功率指令值;忽略发电机损耗,发电机发出的有功功率与原动机机械功率相等。
400-800-7179、0532-83817800
在线客服
QQ客服专线



